
Física II
Prototipo:
Bomba de agua para riego con energía solar

Este prototipo se realizó de acuerdo a 4 de los 17 Objetivos de Desarrollo Sostenible (ODS) de la Agenda 2030, los cuales son:
- ODS 6: Agua limpia y saneamiento.
- ODS7: Energía asequible y no contaminante.
- ODS 12: Producción y consumo responsable.
- ODS 15: Vida de ecosistemas terrestres.
En base a estos objetivos queremos lograr que nuestro prototipo sea una de las posibles soluciones al problema de desabasto de agua en zonas de riego en el Valle de Toluca, localizado en el Estado de México. Nos referimos a la adopción de una bomba de agua para riego con energía solar que representa un paso significativo hacia la sostenibilidad en la agricultura, alineándose con la búsqueda de soluciones innovadoras y respetuosas con el medio ambiente para abordar los desafíos relacionados con el uso eficiente del agua y energía.
Por ende, este proyecto se realiza con ayuda de un panel que a partir de la luz solar genera energía verde, es decir, que no contamina al medio ambiente, y con ello alimenta a un motor que funciona como una bomba de agua que abastece de agua limpia, pura y contralada a los cultivos de la comunidad del Valle de Toluca, el cual a sufrido por esta problemática en estos últimos años, siendo que los cultivos se riegan con agua sin medida y contaminada con químicos o bacterias que afectan a nuestro organismo a corto y largo plazo. Por ello, con la bomba de agua buscamos obtener una mejor calidad en los cultivos por su riego fácil y constante que podría, incluso, abastecer con mas facilidad a mas familias del Valle de Toluca.
Principios Físicos que lo sustentan:
A lo largo del semestre abarcamos temas muy interesantes en la materia de física II, entre los que se relacionan con este proyecto podemos encontrar:
Principalmente, que el prototipo se realizo en base a un circuito en serie, ya que consta de un panel solar de 12 v y 1.7 w como fuente de energía, un apagador pequeño, 2 cables de calibre 20 de 32.5 cm de largo cada uno, un motor D.C (corriente directa) de 1.5 v con unas RPM de 520 indicadas por el proveedor y soldadura 60/40 para conectar los cables con cada componente del circuito. Con lo mencionado anteriormente, calculamos la resistencia, que se opone al paso de la corriente para que el sistema eléctrico no sufra sobrecargas.

De acuerdo a nuestra investigaciòn, sabemos que la resistencia por 1000 metros es de 33.2 Ω, con ello calculamos su resistencia por medio de una regla de 3:

Teniendo así que cada cable de calibre 20 tiene una resistencia de 0.01079 Ω por 32.5 de largo.
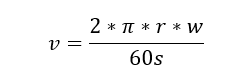
Pasando al funcionamiento de la bomba de agua casera: debemos destacar que el caudal de la manguera utilizada tiene un diámetro de 8mm y para calcular la velocidad lineal del motor y el caudal (la cantidad de agua por minuto que sale de la manguera). Convertimos los RPM a velocidad Lineal utilizando la siguiente formula:

Ahora sustituimos y resolvemos la operación:

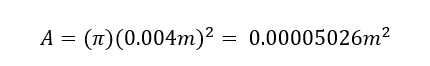
Con este dato, podemos obtener la medida del
caudal (cuanta agua lanza en cierto tiempo), para ello necesitamos el
área de la boca de la manguera:

Despuès multiplicamos la velocidad por el área:

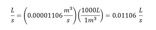
Y para
convertir metros cúbicos por segundo a litros por segundo, multiplicamos por 1000, ya que un metro cubico es igual a 1000 litros:

Como ultimo paso multiplicaremos por 60, ya que son los segundos que contiene un minuto:

Y de esta forma conocemos que el prototipo libera un poco mas de medio litro de agua por minuto, lo cual es buen resultado principalmente porque es una maqueta escolar, si a futuro se deseara implementar para la vida cotidiana deberiamos rehacer todos los cálculos de nuevo, ya que cambiaria el voltaje, resistencia, calibre del cable, además del motor y con ello cambian las RPM a Hp.
En resumen, la importancia de una bomba de agua para riego con energía solar radica en su capacidad para proporcionar una solución sostenible y eficiente en el contexto de la agricultura y la gestión hídrica. Al aprovechar la energía solar, estas bombas reducen la dependencia de fuentes de energía no renovables, disminuyen los costos operativos a largo plazo y contribuyen a la mitigación del cambio climático al reducir las emisiones de gases de efecto invernadero.



